Introduction
Peanut (Arachis hypogaea L.) is an economically important crop in the United States, especially for growers in the southeastern part of the country. In 2024, 2.92 million tons of peanuts were produced in the United States, a 9.7% increase from 2023 (USDA-NASS, 2025a). Overall, 80% of US peanut production is concentrated in the southern states of Georgia, Alabama, Florida, North Carolina, and South Carolina, with Georgia being the leading producer, accounting for 54% of the nation’s acreage (USDA-NASS, 2025). The southeastern US typically experiences a prolonged, humid climate with high rainfall, which promotes the growth of pests and diseases that threaten peanut production (Kemerait et al., 2022; Woodward et al., 2013). The prevalent fungal diseases in peanut are early and late leaf spot (Passalora arachidicola and Nothopassalora personata, respectively) (York et al., 1994), stem rot (Agroathelia rolfsii) (Kokalis-Burelle et al., 1997), and rust (Puccinia arachidis) (You et al., 2024). Effective management of these diseases is important for peanut growers to protect yield and quality (Nutter Jr and Shokes, 1995).
Fungal diseases in peanuts occur at different stages during the growing season. Early leaf spot typically appears 30 to 50 days after planting (DAP), while late leaf spot generally emerges 2 to 4 weeks later (Shokes et al., 1997). Stem rot usually develops between 60 and 100 DAP, affecting both irrigated and rainfed fields (Augusto & Brenneman, 2011). To manage these diseases effectively, fungicides are typically applied seven to ten times during the season, starting at 30 DAP with a 14-day interval between applications (Culbreath et al. 2008). Besides the choice of fungicide program and timing, the application method and equipment can also influence proper disease management in peanut (Woodward et al., 2015). After seed, agrochemicals are the most expensive input in peanut production, making it essential to maximize the efficiency and effectiveness of fungicide applications (Virk et al., 2021). Traditionally, ground sprayers have been the primary choice for fungicide applications in peanuts (Brenneman et al., 1990) due to the relatively short plant height. However, the use of manned aircraft and chemigation (the application of fungicides via irrigation) has also become increasingly common over the years. Applications with manned aircraft are generally preferred as they can cover large areas quickly, especially when wet-field conditions resulting from frequent rainfall limit the use of ground sprayers. Chemigation is another valid application method (Brenneman et al., 1990), but it is not widely used due to the additional infrastructure and complexity required to apply fungicides through the irrigation system. Additionally, chemigation may be less effective in some situations than ground applications for managing late leaf spot (Brenneman & Sumner, 1990). With ground-based applications being the most prevalent in peanut production, several researchers have investigated the influence of different application parameters, including spray volume (Augusto & Brenneman, 2012; Wheeler et al., 2015; Sapkota et al., 2025), nozzle type/droplet size (Virk et al., 2021; Jordan, 2024), and ground speed (Moraes et al., 2020; Sapkota et al., 2023) on spray coverage and efficacy of fungicide applications in peanut. These studies have emphasized that proper selection of application parameters, such as medium-droplet nozzles and/or higher spray volumes, is important for achieving adequate spray deposition within peanut canopies.
Recently, the use of spray drones has increased rapidly for pesticide applications in row crops, as they offer several advantages over other ground-based traditional methods, such as application in wet field conditions, access to uneven terrains, no or minimal damage to the crop, and reduced pesticide exposure to operators (Huang et al., 2009; Lan & Chen, 2018; Madias et al., 2023; Takekawa et al., 2023). Besides peanuts, corn (Zea mays L.) and cotton (Gossypium hirsutum L.) are other prevalent and important rotational row crops grown in the southeastern US (USDA-NASS, 2025b). The use of spray drones for pesticide applications in these crops, particularly for applying fungicides in corn and defoliants (harvest aids) in cotton, has increased significantly over the past few years. Accordingly, several recent research efforts have investigated the spray performance and effectiveness of pesticide applications using spray drones (Qin et al., 2018; Zhang et al., 2020; Sinha et al., 2022; Yan et al., 2023; Byers et al., 2024).
With the expanding use of spray drones in agriculture in the southeastern US, there is growing interest in their use for fungicide applications in peanut, especially given the frequent rain and wet field conditions caused by weather events. However, little to no research exists on the application performance or efficacy of pesticides applied via drones in peanuts. While ground sprayers will remain a prevalent method for fungicide applications in peanut, the authors believe that spray drones could be another viable tool for timely applications, particularly in fields inaccessible to manned aircraft and/or ground equipment due to topography or field conditions. The peanut canopy undergoes significant changes as the crop matures; therefore, fungicide products need to be deposited adequately within the canopy for effective control of fungal diseases. The propeller wash from spray drones may be advantageous for pushing spray particles into the thick peanut canopy, especially towards the end of the season. Hence, to better understand their applicability and effectiveness in peanut production, the performance of spray drones in terms of spray deposition within the canopy and the efficacy of fungicide applications was investigated. The main objectives of this study were to: (1) evaluate spray deposition within the peanut canopy for applications with a spray drone at various intervals during the season and compare it with traditional ground sprayer applications, and (2) compare and evaluate the efficacy of fungicides applied using a spray drone for controlling common fungal diseases in peanuts.
Materials and Methods
Spray Equipment and Experimental Design
This study was conducted at the University of Georgia's Lang-Rigdon Farm in Tifton, GA (31.518062, -83.550183). The fields were planted with the peanut cultivar GA-06G on May 27, 2023, and May 7, 2024, at a seeding rate of 215,278 seeds ha-1 and in rows spaced 0.9 m apart. The soil type was Tifton loamy sand, with an overhead sprinkler irrigation system. During both years, aerial applications were conducted with a DJI Agras T30 spray drone (SZ DJI Technology Co., Shenzhen, China; Figure 1A) while ground applications were performed using a commercial agricultural boom sprayer (LMC, Albany, GA; Figure 1B). The ground sprayer had a 568 L tank and a boom length of 5.9 m, with nozzles spaced at 45.7 cm intervals along the boom. The DJI T30 features a hexacopter arrangement with a 30 L solution tank and two or more nozzles positioned under all six rotors. A DJI D-RTK 2 GNSS mobile base station was used in conjunction with the DJI T30 drone (SZ DJI Technology Co., Shenzhen, China) to achieve precise horizontal and vertical positioning accuracy (±10 cm) during spraying operations. Detailed information on these sprayers is provided in Table 1.
The experiment was arranged as a randomized complete block design (RCBD), with main treatments of ground sprayer and spray drone serving as blocks, and individual replications implemented in plots randomized within each block. The plots were 5.5 m wide (covering six peanut rows spaced 0.9 m apart) and 30.5 m long. The applications with the ground sprayer were conducted using a spray volume of 140.3 L ha-1, a ground speed of 2.0 m s-1, and a boom height of 0.6 m above the peanut canopy. Applications with the spray drone were conducted using a spray volume of 46.8 L ha-1, the minimum recommended volume that could be applied aerially as per the pesticide label. The spray swath for the drone was set to 5.5 m to match the spray width of the ground sprayer. An application height of 2.3 m and a flight speed of 3.8 m s-1 were used for all spray drone applications.
Spray Applications and Data Collection
During both years, fungicide applications were performed using the ground sprayer and spray drone, starting at 30 days after planting (DAP) and then every two weeks at 45, 60, 75, 90, 105, and 120 DAP. Based on the recommendations outlined in the University of Georgia Peanut Production Guide (Monfort et al., 2022), the fungicide program included a combination of chlorothalonil and tebuconazole to control early/late leaf spot, stem rot, and peanut rust. Each year, chlorothalonil (0.87 kg a.i./ha) was applied throughout all application periods, whereas tebuconazole (0.39 kg a.i./ha) was applied along with chlorothalonil at 45, 60, 90, and 120 DAP. Non-treated plots (no fungicide) were left in the field to evaluate and compare disease ratings with plots that received fungicide applications with the ground sprayer and spray drone.
Spray deposition data were collected in both years at 45, 60, 90, and 120 DAP using water only as a solution before the fungicide applications, following a similar methodology to that of Sapkota et al. (2025). To assess spray deposition within the peanut canopy, metal stands were used to place water-sensitive paper (WSP, 2.5 cm × 7.6 cm) at three different positions (upper, middle, and lower) in the peanut canopies, as shown in Figure 2. These metal data collectors were installed in an area approximately 24 m long and six peanut rows wide (5.5 m) in the middle of the field. Three data collectors were randomly installed within each peanut row, with a total of 18 data points collected across the swath for each canopy position (Figure 3). The height of the data collectors (metal stands) was adjusted accordingly to represent the upper, middle, and lower positions as the peanut canopy progressed throughout the season. As a reference, the upper position was always directly above the peanut canopy, the bottom position was approximately 10 cm from the soil surface, and the middle position was approximately halfway between the upper and lower positions.
During each application, spray deposition was collected by placing WSP on the data collectors at the respective positions within the canopy, then making passes with the ground sprayer and the spray drone. Applications with the ground sprayer consisted of a single pass, whereas the spray drone made three consecutive passes, spaced 5.5 m apart, to ensure adequate overlap and consistent spray deposition within the selected spray swath. Each application method (ground and aerial) was replicated three times. Immediately after each application, WSP was allowed to dry for a few minutes, then collected in pre-labeled envelopes to minimize exposure to moisture or humidity. All samples were carefully transported to the laboratory for further analysis at the end of the testing period.
At each application interval, the leaf area index (LAI) was also recorded to track the progression of the peanut canopy throughout the season. LAI represents the total leaf area per unit ground area and was measured using a ceptometer (AccuPAR LP-80, METER Group Inc., Pullman, WA). LAI values initially increased as the peanut canopy progressed from 45 to 90 DAP in both years (Table 2). After 90 DAP, peanut canopies begin to defoliate, starting with the lower canopy and progressing to the upper canopy, thereby resulting in decreased LAI values towards the end of the season.
Each year, environmental conditions, including wind speed (m s-1), wind direction, temperature (C), and relative humidity (%), were monitored and recorded at 1-minute intervals during spray applications by installing an on-site weather station (Model 6357 Vantage Vue, Davis Instruments, Hayward, CA). The meteorological data (averaged over each application period) at different DAPs are presented in Table 3. Weather conditions remained largely consistent during spray applications, with wind speed generally low (<2.2 m s-1) and stable throughout the application periods. The mean temperature ranged from 28.0 to 33.0 ˚C, whereas the relative humidity varied from 49.2% to 77.7%. The only difference observed among the meteorological data was that both temperature and relative humidity varied more during the application period in 2023 than in 2024.
Disease Ratings and Yield
During each year, disease ratings for leaf spot and stem rot were recorded in all plots – both treated (fungicides applied using ground sprayer and spray drone) and untreated (no fungicide). Late leaf spot was rated at 120 DAP in the middle two rows and across the whole length of each plot using the Florida 1–10 leaf spot severity scale, where 1 represents no disease (0% defoliation), 5 represents lesions on the upper canopy (20% defoliation), and 10 represents 100% defoliation, plants dead, killed by leaf spot (Chiteka et al., 1988). Similarly, stem rot was recorded at peanut inversion (approximately 140 DAP) by counting the number of disease loci (or hits) per 18 m of row length in the center two rows and then converting this to a percentage infection within each plot. Peanut yield was measured by harvesting the middle two rows of each plot with a commercial two-row peanut harvester and weighing the harvested peanuts.
Data Analysis
The WSP was analyzed using a DropScope instrument (SprayX) and SprayX software (SprayX, São Paulo, Brazil) to determine spray coverage and droplet density. These data were used to generate spray deposition patterns to visualize coverage and uniformity across the swath at each canopy position (upper, middle and lower) using MS Excel. Descriptive statistics, including range, mean, and median, for coverage across the swath were also computed for both sprayer types and across different canopy positions. Additionally, the coefficient of variation (CV) values were calculated to assess variability in spray deposition within the spray swath.
Since the primary objective of this study was to compare the performance of the spray drone and the ground sprayer at various application intervals throughout the season, the spray deposition data were analyzed separately for each DAP. Statistical analysis was performed using JMP Pro 18.0.0 (SAS Institute Inc., Cary, NC) to test for significant effects of study year, sprayer type, and canopy position at an alpha level of 0.10. The yearly effect was insignificant for spray deposition; therefore, data were pooled across both years. The spray deposition data were subjected to a two-way ANOVA, with sprayer type and canopy position as explanatory variables and mean coverage and droplet density as response variables. The yearly effect was significant for disease ratings and yield; therefore, these data were analyzed separately for each year using a one-way ANOVA with sprayer type as the explanatory variable and leaf spot, stem rot, and yield as the response variables. For effects determined to be significant, treatment means were separated using Tukey's HSD test (p≤0.10).
Results and Discussion
Spray Deposition within the Peanut Canopy and In-Swath Variability
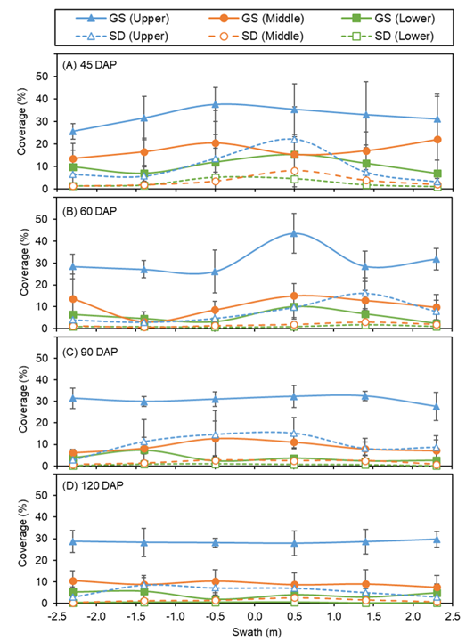
Figure 4 presents spray deposition within the swath for the spray drone and ground sprayer at different positions within the peanut canopy, whereas Table 4 lists the summary statistics for the deposition data pooled across applications made at different DAPs. A general trend observed in Figure 4 and Table 4 is that the ground sprayer provided greater spray coverage than the spray drone, regardless of canopy position and/or DAP. Another noticeable trend in the spray patterns was considerable variability in spray coverage within the swath for both the ground sprayer and the spray drone across all canopy positions, as evidenced by the large error bars in Figure 4 and the high CV values in Table 4. For both sprayer types, the CV increased from the upper to the lower canopy, likely due to interception of spray particles by the peanut canopies, resulting in greater variability in spray coverage in the lower canopy than in the upper canopy.
Across both application methods, the spray drone exhibited significantly higher in-swath deposition variability at each canopy position, resulting in higher CV values than the ground sprayer (Table 4). For the ground sprayer, deposition variability across the swath was initially greater earlier in the season (Figure 4A and 4B), when peanut canopies were smaller and still developing (between 45 and 60 DAP). However, spray deposition was more uniform later in the season (Figures 4C and 4D) when the peanut canopies typically reach maximum vegetative growth and have a more stabilized canopy architecture. Overall, the in-swath deposition variability for the spray drone remained relatively consistent – and mostly non-uniform – throughout the season.
Generally, a CV value of less than 30% is desired and considered acceptable (Richardson et al., 2004) for spray deposition variability within the swath; however, achieving lower CV values with spray drones is challenging, even during bare-ground applications or without crop canopies. While research on spray drone applications in peanut is limited, several researchers have examined the application performance of spray drones in other crops and reported similar findings. For instance, Shan et al. (2022) reported coverage values ranging from 2% to 16% for applications using a DJI MG-1P drone at spray volumes of 7.5 to 30.0 L ha-1 in corn. The authors reported poor deposition uniformity with CV values exceeding 60%. Similarly, Wang et al. (2023) reported coverage values of 3% to 5% and CV values ranging from 40% to 50% for spray drone (DJI MG-1P) applications in corn at spray volumes of 15 and 30 L ha-1. Yan et al. (2023) used a DJI T30 (the same drone model used in the current study) to spray citrus, with a relatively high spray volume of 60 L ha-1. They reported a similar coverage trend, with the highest coverage observed in the upper canopies, followed by the middle and lower canopies. Additionally, the in-swath deposition variability was considerably higher, with CV values ranging from 50% to 105% across different canopy positions. Similar reports for harvest-aid applications with spray drones in cotton have been shared by other studies (Meng et al., 2019; Wang et al., 2022). These studies corroborate our findings, which suggest that spray coverage for drones can vary significantly across the swath. This in-swath deposition variability – inherent to spray drone applications – also makes it challenging to interpret and/or evaluate response across treatments. Hence, the results and discussion on the effect of sprayer type in the subsequent sections are based on coverage and droplet density values averaged across the spray swath rather than for each location within the swath.
Spray Coverage and Droplet Density
For both spray coverage and droplet density, a significant interaction between sprayer type and canopy position was found (p<0.0001). For the ground sprayer, the spray coverage and droplet density were highest in the upper canopies, followed by the middle and lower canopies (Tables 5 and 6, respectively). This trend differed for the spray drone: spray coverage and droplet density were greater at the upper canopies, but comparable in the middle and lower canopies. These trends mostly remained consistent throughout the season, with similar spray coverage and droplet density observed across ground sprayer and spray drone applications at different DAPs. Across the application methods, the ground sprayer consistently resulted in greater mean spray coverage and droplet density than the spray drone. On average, the spray coverage was three to five times greater with the ground sprayer in the upper canopies and five to ten times greater in the middle and lower canopies than with the spray drone. Similarly, the droplet density for the ground sprayer was 1.4 to 2.2 times higher in the upper canopies and 1.8 to 7.3 times higher in the middle and lower canopies than for the spray drone. These results can be primarily attributed to the higher spray volume (140.3 L ha-1) applied with the ground sprayer compared to the low-volume application (46.8 L ha-1) with the spray drone. Several recent drone studies have also demonstrated an association of higher spray volume with increased coverage and droplet density. For instance, Shan et al. (2024) reported significantly greater coverage and droplet density at a spray volume of 450 L ha-1, applied with an electric knapsack sprayer in peanuts, compared to coverage at spray volumes of 15 and 22.5 L ha-1, applied with a DJI T20P spray drone. Similarly, for harvest-aid applications in cotton, Wang et al. (2022) reported an approximately five-fold increase in spray coverage and a two-fold increase in droplet density for applications using a boom sprayer with a spray volume of 450 L ha-1, compared to applications at a spray volume of 30 L ha-1 using a spray drone.
Besides higher spray volume, another factor contributing to the greater spray coverage and droplet density by the ground sprayer is its closer proximity to the peanut canopy than the spray drone. Application height plays a critical role in determining the amount of spray particles deposited on the target or into the crop canopy (Nordin et al., 2021; Byers et al., 2024). In this study, ground sprayer applications were conducted with the sprayer boom approximately 0.6 m above the canopy, whereas spray drone applications were performed at 2.3 m above the peanut canopy. With the sprayer boom significantly closer to the peanut canopies than the spray drone, the ground sprayer applications resulted in a greater number of spray particles penetrating and depositing in the peanut canopies. Although spray deposition and droplet density in drone applications can be improved by lowering the application height (Cunha & Silva, 2023; Cavalaris et al., 2022), this effect can only be effective up to a minimum height. The outwash from the spray drone becomes more pronounced at lower application heights, thereby pushing the spray flux away from the swath and resulting in reduced coverage and increased deposition variability (Lou et al., 2018). Besides spray volume and application height, canopy structure is another factor that influences spray distribution within the crop canopies. Peanut plants have relatively flat, dense leaves that intercept a large proportion of spray particles, limiting penetration into deeper canopies. This effect becomes more pronounced as the growing season progresses and peanut canopies become thicker (Sapkota et al., 2025). This can also be observed from a noticeable decrease in spray coverage and droplet density, especially in the middle and lower canopies, as the peanut progressed from 45 to 60 DAP.
Droplet Size
Due to observed differences in spray coverage and droplet density, the droplet sizes produced by the ground sprayer and the spray drone were also evaluated by analyzing the droplet characteristics on the WSP at various canopy positions. This analysis was performed on pooled data from various DAPs and applications. Summary statistics for droplet sizes (based on the volumetric median diameter, VMD) were computed to assess and compare droplet sizes between sprayer types (Table 7). VMD refers to the droplet diameter (μm) where 50% of the spray volume is contained in the droplets smaller than this value and the other 50% of the spray volume in the droplets larger than the VMD (ASABE, 2020). Based on the droplet size analysis, the mean and median droplet sizes produced by the ground sprayer were larger than those produced by the spray drone (Table 7). This can be attributed to differences in nozzle size between the ground sprayer and the spray drone. While both sprayers used flat-fan XR nozzles (TeeJet Technologies, Springfield, IL), the nozzle (orifice) size on the ground sprayer (XR11003) was twice that on the spray drone (XR110015). According to the nozzle manufacturer, the spray quality produced by the XR110015 nozzles is characterized as ‘Fine’ spray droplets due to the smaller orifice size, while the XR11003 nozzles on the ground sprayer produce ‘Medium’ droplets (ASABE, 2020) based on the selected application parameters. The mean droplet sizes recorded for the ground sprayer and the spray drone in this study agreed with the droplet size classification per ASABE S341.2 (ASABE, 2020). It is also worth noting that spray drones equipped with hydraulic nozzles do not offer the same level of control over droplet size as ground sprayers, due to the inability to monitor and adjust spray pressure. Besides nozzle size, the propeller wash from the spray drone can also influence droplet characteristics, as it can shear larger droplets, resulting in a greater number of finer spray droplets. This could also potentially explain the greater variability observed in droplet sizes deposited within the peanut canopies for the spray drone (CV = 22–27%) compared to the ground sprayer (CV = 8–16%).
The data in Table 7 also reveal an interesting trend for the mean (and median) droplet sizes at different canopy positions across the sprayer types. For the ground sprayer, the size of spray droplets in the upper canopies was greater than that of the droplets in the middle and lower canopies, suggesting that only smaller spray droplets were able to penetrate the canopy. Previous research also suggests that smaller spray droplets are more likely to deposit in the lower canopies than larger droplets in applications with a ground sprayer (Hoffmann et al., 2009). In contrast, for applications involving the spray drone, the spray droplets deposited in the upper canopies were smaller than those in the middle and lower canopies. This could be attributed to the downwash from the spray drone, which can increase droplet velocity, pushing the upper canopy leaves and thereby allowing larger droplets to reach the lower canopies. Shengde et al. (2017) reported that the wind field, also known as downwash, from the spray drone significantly impacts the trajectory and deposition of spray droplets within crop canopies.
Disease Control and Yield
In 2023, both the ground sprayer and spray drone demonstrated improved leaf spot control (Table 8) compared to the untreated plots (no fungicide). For stem rot, the lowest disease incidence was recorded for the spray drone, whereas it was similar between the ground sprayer and the untreated plots. Statistically, stem rot ratings were similar between the ground sprayer and the spray drone, and between the ground sprayer and the untreated plots, indicating low to moderate disease pressure in 2023. In 2024, leaf spot and stem rot ratings were comparable between treated and untreated plots, again indicating low disease pressure. During both years, peanut yields were similar between applications with the ground sprayer, the drone sprayer, and the untreated plots. These results again verified that the disease pressure in the peanut fields was low to moderate during both years.
Theoretically, greater spray coverage and droplet density from the ground sprayer should also translate into higher pesticide efficacy than from the spray drone. However, disease control was comparable between the two application methods, indicating a similar effect of spray drone applications to that of a ground sprayer. Previous studies investigating pesticide efficacy between ground sprayers and spray drones have reported similar findings (Meng et al., 2019; Hussain et al., 2022; Shan et al., 2024), where the increased spray coverage or droplet density provided by the ground sprayers did not translate into improved disease control or yield and exhibited similar efficacy as spray drones. It is also worth noting that the mixture of commonly used peanut fungicides, including tebuconazole and chlorothalonil, used in this study has both contact and systemic activity, making spray coverage less critical than it would be for contact-only pesticides. Additionally, the development of fungal diseases in peanuts is influenced by several factors, including variety selection, crop rotation, seeding rate, soil type, and management practices (Woodward et al., 2014; Kemerait et al., 2022). Accordingly, in addition to timely and effective fungicide applications, growers are advised to consider the impact of these factors and utilize tools such as Peanut Rx (Kemerait et al., 2024) to mitigate the risks associated with these diseases in peanut production.
Conclusions
Fungicide applications in peanut using spray drones are gaining interest among growers in the southeastern US due to weather- or equipment-related challenges associated with traditional ground and aerial application equipment. For spray deposition assessed within the peanut canopy (upper, middle and lower), the spray drone exhibited reduced spray coverage and droplet density compared to the ground sprayer, primarily due to the lower spray volume and increased application height. The spray drone also demonstrated less uniform spray deposition, indicating greater coverage variability across the swath compared to the ground sprayer. This spray behavior is an inherent characteristic of spray drones, making it challenging to minimize in-swath deposition variability, especially at wider swaths and higher speeds, which are commonly used by drone operators. For both the ground sprayer and spray drone, a general trend of decreasing spray coverage and droplet density into the peanut canopies was observed. Due to the different nozzle (orifice) sizes, the spray droplets produced by the spray drone were smaller than those produced by the ground sprayer. A greater variability in spray droplet size was observed with the spray drone, potentially due to propeller wash.
Despite reduced spray coverage and greater in-swath deposition variability, fungicide applications with the spray drone exhibited leaf spot control similar to those with the ground sprayer. The stem rot control was mostly similar between the applications with the ground sprayer, spray drone and untreated plots, indicating a low to moderate disease pressure. Peanut yields were also similar between the treated (fungicide applications with the ground sprayer and spray drone) and untreated plots. Overall, the results of this study suggest that spray drones can be a viable tool for fungicide applications in peanuts; however, growers should be cautious when spraying peanut fields with high disease pressure, as results may differ under such conditions. Future studies should evaluate the efficacy of drone applications under high levels of disease pressure and assess their impact on peanut yield. Additionally, it is important to investigate the impact of other operational factors, such as spray volume, droplet size, and flight speed, on spray efficiency and deposition uniformity within crop canopies. Research should also evaluate the effect of weather conditions, particularly wind speed, on spray deposition and efficiency to better understand and inform recommendations best suited for applications with spray drones.
Acknowledgements
The Georgia Peanut Commission provided funding for this project. The authors would also like to thank the farm manager and the staff of the University of Georgia Lang-Rigdon farm for their assistance with planting, field maintenance, and harvesting. No conflicts of interest have been declared.
Literature Cited
Augusto J., and Brenneman T.B.. 2011. Implications of fungicide application timing and post-spray irrigation on disease control and peanut yield. Peanut Sci. 38(1):48-56. doi: [: 10.3146/ps10-11.1].
Augusto J., and Brenneman T.B.. 2012. Interactive effects of fungicide, application timing, and spray volume on peanut diseases and yield. Plant Health Prog. 13(1):16. doi: [: 10.1094/php-2010-0420-01-rs].
ASABE. 2020. S572.3 - Spray nozzle classification by droplet spectra. Am. Soc. Agric. Bio. Eng., St. Joseph, MI.
Brenneman T.B., and Sumner D.R.. 1990. Effects of tractor traffic and chlorothalonil applied via ground sprays or center pivot irrigation systems on peanut diseases and pod yields. Plant Dis. 74:277-279.
Brenneman T.B., Sumner H.R., and Harrison G.W.. 1990. Deposition and retention of chlorothalonil applied to peanut foliage: effects of application methods, fungicide formulations and oil additives. Peanut Sci. 17(2):80-84. doi: [: 10.3146/i0095-3679-17-2-9].
Byers C., Virk S., Rains G., and Li S.. 2024. Spray deposition and uniformity assessment of unmanned aerial application systems (UAAS) at varying operational parameters. Fron. Agron. 6:1418623. doi: [: 10.3389/fagro.2024.1418623].
Cavalaris C., Karamoutis C., and Markinos A.. 2022. Efficacy of cotton harvest aids applications with unmanned aerial vehicles (UAV) and ground-based field sprayers – A case study comparison. Smart Agric. Technol. 2:100047. doi: [: 10.1016/j.atech.2022.100047].
Chiteka Z. A., Gorbet D.W., Shokes F.M., Kucharek T.A., and Knauft D.A.. 1988. Components of resistance to late leafspot in peanut. I. Levels and variability-implications for selection. Peanut Sci. 15:25-30. doi: [: 10.3146/i0095-3679-15-1-8].
Culbreath A. K., Kemerait Jr R.C., and Brenneman T.B.. 2008. Management of leaf spot diseases of peanut with prothioconazole applied alone or in combination with tebuconazole or trifloxystrobin. Peanut Sci. 35(2):149-158. doi: [: 10.3146/PS08-005.1].
Cunha J. P. A. R. d., and Silva M. R. A. D.. 2023. Spray deposition from a remotely piloted aircraft on the corn crop. Revista Ciência Agronômica. 54: e20217862.
Hoffmann W. C., Fritz B. K., and Lan Y.. 2009. Evaluation of a proposed drift reduction technology high-speed wind tunnel testing protocol. J. ASTM Int. 6(4): [: JAI102129]. doi: 10.1520/JAI102129.
Huang Y., Hoffmann W. C., Lan Y., Wu W., and Fritz B. K.. 2009. Development of a spray system for an unmanned aerial vehicle platform. Appl. Eng. Agric. 25(6):803-809.
Hussain M., Wang Z., Huang G., Mo Y., Kaousar R., Duan L., and Tan W. J. A.. 2022. Comparison of droplet deposition, 28-homobrassinolide dosage efficacy and working efficiency of the unmanned aerial vehicle and knapsack manual sprayer in the maize field. Agron. 12(2):385. doi: [: 10.3390/agronomy12020385].
Jordan D.L. 2024. Peanut (Arachis hypogaea) response to fungicides and herbicides applied using different spray nozzles. Corpus Publishers. 5(1): 1–3. doi: [: 10.54026/aart/1068].
Kemerait R., Brenneman T.B., and Culbreath A.. 2022. Disease and nematode management in peanut. UGA Cooperative Extension, 104–127.
Kemerait R., Culbreath A., Brenneman T.B., Tubbs S., Srinivasan R., Abney M., Monfort S., Pilon C., Bag S., Tillman B., Dufault N., Mulvaney M., Small I., Hagan A., Chen C., Jacobsen A., Balkom K., Strayer-Scherer A., Anco D., and Zurweller B.. 2024. Peanut Rx: Minimizing disease of peanut in the Southern United States. University of Georgia Cooperative Extension, Athens, GA.
[17] Kokalis-Burelle N., Porter D., Rodriguez-Kabana R., Smith D., and Subrahmanyam P.. 1997. Compendium of peanut diseases Vol. 2Am. Phytopathological Soc.
Lan Y., and Chen S.. 2018. Current status and trends of plant protection UAV and its spraying technology in China. Int J Precis Agric Aviat, 1(1): 1-9.
Lou Z., Xin F., Han X., Lan Y., Duan T., and Fu W.. 2018. Effect of unmanned aerial vehicle flight height on droplet distribution, drift and control of cotton aphids and spider mites. Agron. 8(9):187.
Madias A., Borrás L., and Gambin B.L.. 2023. Foliar fungicides help maize farmers reduce yield gaps in late sown crops in a temperate region. Eur. J. Agron. 145: Article [: 126768]. doi:10.1016/j.eja.2023.126768.
Meng Y., Song J., Lan Y., Mei G., Liang Z., and Han Y.. 2019. Harvest aids efficacy applied by unmanned aerial vehicles on cotton crop. Ind. Crops Prod. 140:111645.
Monfort W.S., Pilon C., Holbrook C., Brenneman T.B., Culbreath A.K., Harris G.H., Branch W.D., Ozias-Akins P., Knox P., and Tubbs R.S.. 2022. UGA Peanut Production Field Guide. B-1146. UGA Cooperative Extension, Athens, GA.
Moraes J.G., Prostko E.P., Kruger G.R., and Rodrigues C.C.. 2020. The influence of nozzle type and application speed on sicklepod control with cadre and butyrac. Crops Soils, 53(3), 3-7. doi: [: 10.1002/crso.20027].
Nordin M.N., Jusoh M.S.M., Bakar B.H.A., Basri M.S.H., Kamal F., Ahmad M.T., and Teoh C.C.. 2021. Preliminary study on pesticide application in paddy field using drone sprayer. AAFRJ. 2(2).
Nutter Jr F., and Shokes F.. 1995. Management of foliar diseases caused by fungi. Peanut Health Manag. 3: 65–73.
Qin W., Xue X., Zhang S., Gu W., and Wang B.. 2018. Droplet deposition and efficiency of fungicides sprayed with small UAV against wheat powdery mildew. Int. J. Agric. Biol. Eng., 11(2): 27-32. doi: [: 10.25165/j.ijabe.20181102.3157].
Sapkota M., Virk S., and Rains G.. 2023. Spray deposition and quality assessment at varying ground speeds for an agricultural sprayer with and without a rate controller. AgriEngineering 5(1):506–519. doi: [: 10.3390/agriengineering5010033].
Sapkota M., Virk S., Kemerait R.C., Prostko E.P., and Butts T.R.. 2025. Effect of carrier volume and nozzle type on spray deposition within the canopy, disease control and yield in peanut. Crop Forage Turfgrass Manag. 11(1). doi: [: 10.1002/cft2.70028].
Shan C., Wu J., Song C., Chen S., Wang J., Wang H., Wang G., and Lan Y.. 2022. Control efficacy and deposition characteristics of an unmanned aerial spray system low-volume application on corn fall armyworm spodoptera frugiperda. Front. Plant Sci. 13: [: 900939]. doi:10.3389/fpls.2022.900939.
Shan C., Wang G., Wang H., Wu L., Song C., Hussain M., Wang H., and Lan Y.. 2024. Assessing the efficiency of UAV for pesticide application in disease management of peanut crop. Pest Manag. Sci. 80(9): 4505-4515. doi: [: 10.1002/ ps.8155].
Shengde C., Yubin L., Jiyu L., Aimin L., and Yuedong M.. 2017. Effect of wind field below rotor on distribution of aerial spraying droplet deposition by using multi-rotor UAV. Trans. Chin. Soc. Agric. Mach. 48(8).
Shokes F., Culbreath A., Burelle N., Porter D., Kabana R., Smith D., and Subrahmanyam P.. 1997. Early and late leaf spots. In Compendium of peanut diseases. St. Paul, MN. The APS Press.
Sinha R., Johnson J., Power K., Moodie A., Warhurst E., and Barbosa R.. 2022. Understanding spray attributes of commercial uaas as impacted by operational and design parameters. Drones. 6(10): 281.
Takekawa J. Y., Hagani J. S., Edmunds T. J., Collins J. M., Chappell S. C., and Reynolds W. H.. 2023. The sky is not the limit: use of a spray drone for the precise application of herbicide and control of an invasive plant in managed wetlands. Remote Sensing. 15(15):3845.
USDA-NASS. ( 2025a). Peanut Acreage. https://usda.library.cornell.edu/concern/publications/j098zb09z.
USDA-NASS. ( 2025b). Crop Acreage Data. https://esmis.nal.usda.gov/sites/default/release-files/j098zb09z/ 4455bc157/6q184j42c/acrg0625.pdf.
Virk S.S., Prostko E.P., Kemerait R.C., Abney M.R., Rains G.C., Powell C.T., Carlson D.S., Jacobs J.L., and Tyson W.G.. 2021. On-farm evaluation of nozzle types for peanut pest management using commercial sprayers. Peanut Sci. 48(2):87–96. doi: [: 10.3146/ps21-2.1].
Wang G.B., Wang J.H., Chen P.C., Han X.Q., Chen S.D., and Lan Y.B.. 2022. Droplets deposition and harvest-aid efficacy for UAV application in arid cotton areas in Xinjiang, China. Int J Agric & Biol Eng. 15(5): 9–18. doi:1 [: 0.25165/j.ijabe.20221505.6425].
Wang Z., Hussain M., Yin J., Yuan M., Mo Y., Quan M., Duan L., and Tan W.. 2023. Analysis of droplet deposition and maize (Zea mays L.) growth control: Application of ethephon by small unmanned aerial vehicle and electric knapsack sprayer. Field Crops Research. 292: 108822. doi: [: 10.1016/j.fcr.2023.108822].
Wheeler T.A., Anderson M.G., Russell S.A., Woodward J.E., and Mullinix B.G.. 2015. Application pressure and carrier volume affects the concentration of azoxystrobin on peanut foliage and in soil. Peanut Sci. 42(2):128-137. doi: [: 10.3146/0095-3679-42.2.128].
Woodward J.E., Brenneman T.B., and Kemerait R.C.. 2013. Chemical control of peanut Diseases: Targeting leaves, stems, roots, and pods with foliar-applied fungicides. In Nita M. (ed), Fungicides: Showcases of Integrated Plant Disease Management from Around the World. https://doi.org/10.5772/51064.
Woodward J.E., Brenneman T.B., Kemerait R.C., Culbreath A.K., and Smith N.B.. 2014. On-farm evaluations of reduced input fungicide programs in peanut fields with low, moderate, or high levels of disease risk. Peanut Sci. 41:50–57. doi: [: 10.3146/PS11-23R2.1].
Woodward J.E., Russell S.A., Baring M.R., Cason J.M., and Baughman T.A.. 2015. Effects of fungicides, time of application, and application method on control of sclerotinia blight in peanut. Int. J. Agron. 2015(1):323465.
Yan Y., Lan Y., Wang G., Hussain M., Wang H., Yu X., Shan C., Wang B., and Song C.. 2023. Evaluation of the deposition and distribution of spray droplets in citrus orchards by plant protection drones. Front. Plant Sci. 14:1303669. doi: [: 10.3389/fpls.2023.1303669].
York A.C., Jordan D.L., and Wilcut J.W.. 1994. Peanut control in rotational crops. Peanut Sci. 21(1):40–43. doi: [: 10.3146/i0095-3679-21-1-10].
You Y., Liao J., He Z., Khurshid M., Wang C., Zhang Z., Mao J., and Xia Y.. 2024. Effects of peanut rust disease (puccinia arachidis speg.) on agricultural production: current control strategies and progress in breeding for resistance. Genes. 15(1):102. https://www.mdpi.com/2073-4425/15/1/102.
Notes
- First author: Graduate Student, Department of Crop, Soil and Environmental Sciences, Auburn University, Auburn, AL 36849; Second author: Associate Professor, Extension Specialist, Department of Biosystems Engineering, Auburn University, Auburn, AL 36849; Third and fourth authors: Graduate Student, School of Environmental, Civil, Agricultural, and Mechanical Engineering, University of Georgia, Athens, GA 30602; Fifth author: Professor, Department of Plant Pathology, University of Georgia, Tifton, GA 31793. [^] Corresponding author’s E-mail: svirk@auburn.edu













