Introduction
Benghal dayflower, also known as tropical spiderwort, is a noxious, invasive annual/perennial weed that has become one of the most troublesome species in agronomic crop production systems in the southeastern United States (Webster and Sosnoskie, 2010). Benghal dayflower is native to tropical Asia and Africa and is listed among the world’s worst weeds (Holm et al., 1977). Benghal dayflower was not considered a common or problematic weed in the U.S. until the early 2000s, when it was confirmed in 12 counties in Florida and 29 counties in Georgia (Prostko et al., 2005). Over the past two decades, the species has spread rapidly and become a significant weed across much of the southeastern United States, including Alabama, Florida, Georgia, North Carolina, South Carolina, and Virginia (USDA, 2020; Webster and Sosnoskie, 2010; Webster and Nichols, 2012). The spread of Benghal dayflower has been associated with the shift to minimum-tillage production systems, the introduction and widespread adoption of glyphosate-resistant crops, and the concomitant increase in glyphosate use (Leon et al., 2022). Benghal dayflower is tolerant to glyphosate; therefore, its survival and reproduction increases after glyphosate eliminates competition from other weeds (Price et al., 2009).
Benghal dayflower is particularly difficult to control due to its unique biological characteristics, which include reproductive flexibility (producing seeds both above and below ground and the ability to exist as an annual or perennial depending on climate), a late and prolonged emergence period that extends beyond preplant tillage and early-season weed control, high seed production (>1,600 seeds per plant), and a sprawling growth habit that forms dense mats and develops adventitious roots at the nodes (Holm et al., 1977; Prostko et al., 2005; Walker and Evenson, 1985a, b). Growers in the southeastern United States are facing an ever-increasing challenges in controlling Benghal dayflower because of limited effective herbicide options. Furthermore, its ability to reproduce vegetatively and regenerate from cut stems undermines mechanical control efforts (Budd et al., 1979), while light cultivation can fragment and disperse stems, potentially increasing the extent of infestation (Daramola et al., 2021).
Poor control of Benghal dayflower in glyphosate-tolerant crops like cotton, corn, and soybean can increase infestations in subsequent rotational crops like peanut, which is a weak competitor due to its low, spreading growth habit (Chaudhari et al., 2018). Benghal dayflower has been shown to be more competitive than peanut (Chivinge and Kawisi 1990), reducing yield by 10% within four weeks of interference and causing over 50% yield loss with season-long competition (Webster et al., 2007). Effective management strategies are therefore essential to minimize interference and yield loss associated with Benghal dayflower.
Although cultural practices like deep tillage, early planting, narrow spacing, and twin-row spacing can help suppress Benghal dayflower, they are not sufficient alone to protect peanut yield (Daramola et al., 2024a; Ferrell et al., 2020; Stephenson and Brecke, 2011). Effective control of troublesome weeds often requires timely herbicide programs with tank mixtures involving multiple modes of action (Norsworthy et al., 2012). Integrating residual preemergence herbicides with effective postemergence options is also essential for the management of problematic weeds (Kumar and Jha, 2015). Previous research shows inconsistent control of Benghal dayflower with preemergence herbicides with single modes of action. For example, Benghal dayflower control with preemergence application of flumioxazin (0.072 kg ai ha-1), fluometuron (1.12 ka ai ha-1), norflurazon (1.507 kg ai ha-1), prometryn (0.048 kg ai ha-1) and pyrithiobac (0.048 kg ai ha-1) was only 24% to 67% (Webster et al., 2006). Only S-metolachlor at 1.0 and 1.6 kg ai ha⁻¹, provided >80% control of Benghal dayflower (Webster et al., 2006). Among postemergence herbicide programs evaluated for Benghal dayflower control, only paraquat combined with S-metolachlor or bentazon provided >90% control (Daramola et al. 2024a; Stephenson and Brecke, 2011). However, paraquat use is limited to within 28 days after peanut emergence, which is often before the peak emergence of Benghal dayflower in early July. Additionally, paraquat may cause crop stunting and foliar injury, which can result in yield reduction under stress conditions (Brecke et al. 1996; Daramola et al. 2024b). There is limited information on alternative herbicide options for effective Benghal dayflower control in peanut. Therefore, preemergence and postemergence fallow experiments were conducted to evaluate the performance of alternative (non-S-metolachlor and non-paraquat) herbicides labeled for use in peanut for Benghal dayflower control. Since most peanut growers rely on herbicide mixtures for broad-spectrum weed control, this study evaluated diclosulam (WSSA Group 2) and flumioxazin (WSSA Group 14) preemergence mixtures, along with various postemergence herbicide programs.
Materials and Methods
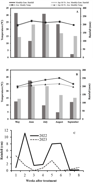
Field experiments were conducted in 2022 and 2023 at the West Florida Research and Education Center, University of Florida, Jay, FL (30˚46′29.5″ N; 87˚08′19.9″ W), on a Red Bay sandy loam soil (fine-loamy, kaolinitic, thermic Rhodic Kandiudults) with pH 5.8 and 2.1% organic matter. Trials were established in a crop-free area with heavy natural infestation of tropical spiderwort. Herbicides labeled for use in peanut were applied at recommended rates and timings (Table 1). Weather data, including weekly rainfall after preemergence application, cumulative monthly rainfall, and average monthly temperatures, are presented in Figure 1.
Figure 1. Average monthly temperature and monthly cumulative rainfall during the period of crop growth in 2021 (A) and 2022 (B) and 16-yr average monthly temperature and average monthly cumulative rainfall at Jay, FL. (C)- Rainfall data at the experimental site in Jay, FL in 2022 and 2023 each week after preemergence herbicide treatment.
Separate preemergence and postemergence experiments were arranged in a randomized complete block design with four replications. Plot size was 7.6 m × 3.6 m. Treatments were applied using a CO₂-pressurized backpack sprayer with TTI11002 nozzles, calibrated to deliver 140 L ha⁻¹ at 4.8 km hr⁻¹. Paraquat was applied at 0.25 kg ai ha-1 to control emerged vegetation prior to the time of preemergence herbicide application. Preemergence herbicide treatments included diclosulam plus pendimethalin, diclosulam plus fluridone, diclosulam plus flumioxazin, diclosulam plus dimethenamid-P, diclosulam plus S-metolachlor, flumioxazin plus S-metolachlor, flumioxazin plus dimethenamid-P, flumioxazin plus fluridone, and S-metolachlor plus fluridone. An untreated control was included for treatment comparison. Applications were made on July 15, 2022, and July 14, 2023, to align with peak Benghal dayflower emergence. Fields were rainfed, and at least 3.5 cm of rainfall occurred within 7–10 days after treatment each year (Figure 1), ensuring herbicide activation.
Postemergence herbicide treatments were applied when Benghal dayflower plants were 10–20 cm tall at a density of 80–150 plants m⁻². Treatments included paraquat plus bentazon plus S-metolachlor, paraquat plus bentazon plus Anthem Flex (pre-mix carfentrazone-ethyl:pyroxasulfone), paraquat plus S-metolachlor plus Storm (pre-mix acifluorfen:bentazon), diclosulam plus S-metolachlor, imazapic plus S-metolachlor plus 2,4-DB, imazapic plus pre-mix carfentrazone-ethyl:pyroxasulfone, imazapic plus pre-mix carfentrazone-ethyl:pyroxasulfone plus S-metolachlor, imazapic plus pre-mix acifluorfen:bentazon plus S-metolachlor, acifluorfen plus S-metolachlor plus 2,4-DB, chlorimuron ethyl plus S-metolachlor plus 2,4-DB, and pre-mix acifluorfen:bentazon plus 2,4-DB. An untreated control was included for treatment comparison. All postemergence herbicide treatments included a nonionic surfactant (NIS 0.25% v/v; Preference, Winfield Solutions, York, PA) and were applied on July 24, 2022, and July 27, 2023.
Visual control ratings were recorded at 28, 42, and 56 days after treatment (DAT) for the preemergence experiment, and at 28 and 56 DAT for the postemergence experiment. Benghal dayflower density and biomass were assessed at 42 and 56 DAT for the preemergence treatments, and at 56 DAT for the postemergence treatments. Weed control was visually estimated on a scale from 0% (no control) to 100% (complete mortality), relative to the untreated control. Density was measured from two 1 m² quadrats per plot, and aboveground biomass was collected from the same quadrats. Samples were dried in a forced-air oven at 60°C for one week, and dry weights recorded. Density and biomass reductions were calculated relative to the untreated control using the formula:
Reduction (%) = [(A – B) / A] × 100
where A is the density or biomass of the untreated control, and B is the density or biomass of the treated plot.
Data were analyzed using ANOVA with PROC GLIMMIX procedure in SAS version 9.4 (SAS Institute Inc., 2012). Initial analyses evaluated year as a fixed effect. Since the treatment × year interaction was not significant, data from both years were pooled, with year treated as a random effect in subsequent analyses. Benghal dayflower control, density reduction, and biomass reduction data were arcsine square-root transformed prior to analysis to meet assumptions of normality. Means were separated using Tukey’s Honest Significant Difference (HSD) test at P < 0.05. For presentation, means were back-transformed to percentage values.
Results and Discussion
Preemergence herbicide experiment
Cumulative rainfall during the first two weeks after herbicide application was approximately 50% higher in 2022 than in 2023 (Figure 1). Despite this difference, rainfall was sufficient and timely for herbicide activation in both years, and no significant herbicide programs-by-year interactions were observed. All the herbicide programs provided ≥95% control of Benghal dayflower 14 DAT. However, significant differences in visual control, density, and biomass reduction were observed among treatments at 28 and 56 DAT (Table 2). The most effective treatments—diclosulam plus dimethenamid-P, diclosulam plus flumioxazin, diclosulam plus S-metolachlor, flumioxazin plus S-metolachlor, and fluridone plus S-metolachlor provided 94% to 98% control at 28 DAT, and 73% to 76% control at 56 DAT, with 78% to 90% density reduction and 67% to 71% biomass reduction (Table 2). These results align with previous studies demonstrating the efficacy of S-metolachlor-based preemergence programs for controlling Benghal dayflower (Culpepper et al. 2004; Webster et al. 2006). Webster et al. (2006) reported ≥80% control of Benghal dayflower six weeks after preemergence application of S-metolachlor at 1.05 and 1.60 kg ai ha⁻¹. Similarly, Culpepper et al. (2004) found that mixing S-metolachlor with glyphosate improved Benghal dayflower control by 27% in cotton.
Diclosulam plus fluridone, diclosulam plus pendimethalin, flumioxazin plus fluridone, and flumioxazin plus dimethenamid-P provided 83% to 89% control 28 DAT but <70% control 56 DAT (Table 2). A similar decline was observed for density (61% to 69%) and biomass (52% to 62%) reductions at 28 and 56 DAT. These results suggest that preemergence herbicides alone may not provide season-long control, highlighting the need for effective postemergence options. Of the nine preemergence programs tested, only diclosulam plus S-metolachlor, flumioxazin plus S-metolachlor, and fluridone plus S-metolachlor provided >85% density reduction at 56 DAT. In this study, emphasis was placed on testing diclosulam- and flumioxazin-based alternative programs to S-metolachlor; however, only mixtures containing S-metolachlor provided consistent, effective control. These results confirm that an effective preemergence herbicide program for Benghal dayflower control will include S-metolachlor.
Postemergence herbicide experiment
Benghal dayflower density and biomass were generally higher in 2022 than in 2023 due to greater cumulative rainfall (Figure 1), though herbicide performance followed a consistent trend across both years, with no significant year-by-treatment interactions. Thus, results are discussed as averages across years. Herbicide programs significantly affected Benghal dayflower control, density, and biomass reduction (P < 0.001). Visual control declined from 14 to 56 DAT (Table 2), and this is attributed to the presence of plants that were only suppressed by the herbicide programs. In addition, there was continuous emergence which increased plant density through the season. These results are consistent with those of Culpepper et al. (2004), who observed reduction in Benghal dayflower control in cotton from 21 to 130 DAT with glyphosate plus S-metolachlor and glyphosate plus flumioxazin.
Paraquat plus bentazon plus S-metolachlor, paraquat plus bentazon plus premix carfentrazone-ethyl:pyroxasulfone, and paraquat plus S-metolachlor plus premix acifluorfen:bentazon provided the highest Benghal dayflower control (83% to 94%) from 14 to 56 DAT, with corresponding density and biomass reductions of 78% to 86% (Table 3). Greater control with paraquat-based treatments is likely due to its rapid absorption and contact activity (Shaner 2014). These results align with previous studies by Stephenson and Brecke (2011), who reported 89% control of Benghal dayflower with paraquat plus bentazon.
Imazapic plus premix carfentrazone-ethyl:pyroxasulfone provided comparable control (79% to 83%) to paraquat programs at 14 and 28 DAT, but control declined to <70% by 56 DAT. Adding S-metolachlor to this mix (imazapic plus premix carfentrazone-ethyl:pyroxasulfone plus S-metolachlor) reduced control by at least 11% across all evaluation periods (Table 3). Other postemergence mixtures, including acifluorfen, chlorimuron ethyl, imazapic, and 2,4-DB, provided <70% control, limiting their use as standalone options for Benghal dayflower control. Herbicide programs such as imazapic plus 2,4-DB plus S-metolachlor, imazapic plus acifluorfen plus S-metolachlor, and 2,4-DB plus premix carfentrazone-ethyl:pyroxasulfone provided 71 to 78% control at 14 DAT, but control was not > 60% at 56 DAT (Table 3). Similarly, acifluorfen plus 2,4-DB plus S-metolachlor and chlorimuron ethyl plus 2,4-DB plus S-provided 66% to 69% control 14 DAT, but control was < 60% at 56 DAT. The lowest control (45% to 65%) was observed with diclosulam plus S-metolachlor. This was not surprising, because the treatment only suppressed Benghal dayflower by providing residual control of seedlings but did not control emerged Benghal dayflower. These results indicate that relying solely on postemergence herbicides is insufficient for season-long Benghal dayflower control.
Summary and conclusions
Effective Benghal dayflower control 56 DAT is possible with preemergence application of diclosulam plus dimethenamid-P, diclosulam plus flumioxazin, diclosulam plus S-metolachlor, flumioxazin plus dimethenamid-P, flumioxazin plus S-metolachlor, and fluridone + S-metolachlor. While combinations like diclosulam plus fluridone, diclosulam plus pendimethalin, and flumioxazin plus fluridone provided good early-season control (28 DAT), they failed to maintain control due to the continuous emergence of Benghal dayflower. Season-long control of Benghal dayflower will require a multi-component approach that integrates effective preemergence with timely postemergence herbicide treatment. Among the eleven postemergence herbicide programs evaluated, only those including paraquat, specifically: paraquat plus bentazon plus S-metolachlor, paraquat plus bentazon plus premix carfentrazone-ethyl:pyroxasulfone, and paraquat plus S-metolachlor + premix acifluorfen:bentazon maintained >85% control from 14 to 56 DAT. While imazapic-based programs provided early suppression, their control dropped significantly by 56 DAT, especially when Benghal dayflower exceeded 10 cm in height. In summary, optimal Benghal dayflower control in peanut requires a residual S-metolachlor-based preemergence herbicide followed by timely postemergence applications, with paraquat plus bentazon plus S-metolachlor identified as the most effective option for season-long management.
Acknowledgements
The authors thank the field technical support team at West Florida Research and Education Center, Jay, FL, for their technical support. This research is supported by the U.S. Department of Agriculture–National Institute of Food and Agriculture Hatch Project FLAWFC-005843 and Florida peanut producers/check off fund G000430-2200-60820000-209-P0177604.
Literature Cited
Brecke B.J., Funderburk J.E., Teare I.D. and Gorbet D.W.. 1996. Interaction of early‐season herbicide injury, tobacco thrips injury, and cultivar on peanut. Agron J. 88:14–18.
Budd G.D., Thomas P.E.L., and Allison J.C.S.. 1979. Vegetative regeneration, depth of germination and seed dormancy in Commelina benghalensis L. J Agric Res. 17:151–153.
Chaudhari S., Jordan D.L., Grey T.L., Prostko E.P., and Jennings K.M.. 2018. Weed control and peanut (Arachis hypogaea L.) response to acetochlor alone and in combination with various herbicides. Peanut Sci. 45(1):45–55.
Chivinge O.A., and Kawisi M.. 1990. Effects of intra- and inter-specific competition on the growth and development of wandering jew (Commelina benghalensis L.) and groundnuts (Arachis hypogaea L.). Zimb J Agric Res. 28:75–82.
Culpepper A.S., Flanders J.T., York A.C., and Webster T.M.. 2004. Tropical spiderwort (Commelina benghalensis) control in glyphosate-resistant cotton. Weed Technol. 18(2):432–436.
Daramola O.S., MacDonald G.E., Kanissery R.G., Tillman B.L., Singh H., Ajani O.A., and Devkota P.. 2024. Implications of planting date on Benghal dayflower (Commelina benghalensis L.) and sicklepod (Senna obtusifolia L.) management in peanut. Weed Technol. 38:e66.
Daramola O.S., MacDonald G.E., Kanissery R.G., Tillman B.L., Singh H., Ajani O.A., and Devkota P.. 2024. Effect of planting pattern and herbicide programs on sicklepod (Senna obtusifolia L.) control in peanut. Weed Technol. 38:e53.
Daramola O.S., Adeyemi O.R., Adigun J.A., and Adejuyigbe C.O.. 2021. Influence of row spacing and weed control methods on weed population dynamics in soybean (Glycine max L.). Int J Pest Mang. 68(1):43–58.
Ferrell J.A., MacDonald G.E., and Devkota P.. 2020. Weed management in peanuts: SS-AGR-03/WG008, rev. 05/2020. EDIS. 2020(3).
Holm L.G., Plucknett D.L., Pancho J.V., and Herberger J.P.. 1977. The world’s worst weeds: Distribution and biology. Honolulu: University Press of Hawaii. 609 p.
Kumar V., and Jha P.. 2015. Influence of herbicides applied postharvest in wheat stubble on control, fecundity, and progeny fitness of Kochia scoparia in the US Great Plains. Crop Prot. 71:144–149.
Leon R.G., Creamer N., Reberg-Horton S.C., and Franzluebbers A.J.. 2022. Eradication of Commelina benghalensis in a long-term experiment using a multistakeholder governance model: a case of regulatory concerns defeating ecological management success. Invasive Plant Sci Mang. 15(3):152–159.
Norsworthy J.K., Ward S.M., Shaw D.R., Llewellyn R.S., Nichols R.L., Webster T.M., Bradley K.W., Frisvold G., Powles S.B., Burgos N.R., and Witt W.W.. 2012. Reducing the risks of herbicide resistance: best management practices and recommendations. Weed Sci. 60(SP1):31–62.
Price A.J., Runion G.B., Prior S.A., Rogers H.H., and Torbert H.A.. 2009. Tropical spiderwort (Commelina benghalensis L.) increases growth under elevated atmospheric carbon dioxide. J Environ Qual. 38(2):729–733.
Prostko E.P., Culpepper A.S., Webster T.M., and Flanders J.T.. 2005. Tropical spiderwort identification and control in Georgia field crops. Tifton, GA: University of Georgia Cooperative Extension Service Bulletin. http://pubs.caes.uga.edu/caespubs/pubs/PDF/c884.pdf 2023June8.
Stephenson D.O. IV, and Brecke B.J.. 2011. Weed management in evenly-spaced 38-vs. 76-cm row peanut (Arachis hypogaea). Peanut Sci. 38(1):66–72.
[USDA]United States Department of Agriculture, Natural Resources and Conservation Service. 2020. Commelina benghalensis L. Plants Database. Washington (DC): https://plants.sc.egov.usda.gov/core/profile?symbol=COBE2. Accessed Sep 29, 2022.
Walker S.R., and Evenson J.P.. 1985a. Biology of Commelina benghalensis L. in southeastern Queensland. Growth, development and seed production. Weed Res. 25:239–244.
Walker S.R., and Evenson J.P.. 1985b. Biology of Commelina benghalensis L. in southeastern Queensland. Seed dormancy, germination and emergence. Weed Res. 25:245–250.
Webster T.M., Burton M.G., Culpepper A.S., Flanders J.T., Grey T.L., and York A.C.. 2006. Tropical spiderwort (Commelina benghalensis L.) control and emergence patterns in preemergence herbicide systems. J. Cotton Sci. 10:68–75.
Webster T.M., Faircloth W.H., Flanders J.T., Prostko E.P., and Grey T.L.. 2007. The critical period of Bengal dayflower (Commelina benghalensis) control in peanut. Weed Sci. 55:359–364.
Webster T.M., and Sosnoskie L.M.. 2010. Loss of glyphosate efficacy: A changing weed spectrum in Georgia cotton. Weed Sci. 58:73–79.
Webster T.M., and Nichols R.L.. 2012. Changes in the prevalence of weed species in the major agronomic crops of the Southern United States: 1994/1995 to 2008/2009. Weed Sci. 60:145–157.
Notes
- First author: Postdoctoral Research Associate. Department of Agronomy, Kansas State University, Hays Kansas 67601; second, fourth, and sixth authors: Professor, Assistant Professor, and Assistant professor Department of Agronomy, University of Florida Institute of Food and Agricultural Sciences, Gainesville, FL, 32611; third author: Associate Professor, Southwest Florida Research and Education Center, University of Florida Institute of Food and Agricultural Sciences, Immokalee, FL, 34142; fifth author: Biological Scientist, West Florida Research and Education Center, University of Florida Institute of Food and Agricultural Sciences, Jay, FL, 32565. [^] Corresponding author’s Email: daramolaolumide@ksu.edu





